Menu

Ennore toxic dust: Lab tests confirm high levels of fluoride, lead, uranium in household dust

The sample, collected from a home in Sathyavani Muthu Nagar, was analysed by CVR Labs, which confirmed that the dust is industrial in origin and likely composed of phosphogypsum – a hazardous waste by-product from phosphate fertiliser manufacturing.

Published Jun 13, 2025 | 4:43 PMUpdated Jun 13, 2025 | 9:43 PM

Ennore toxic dust: Lab tests confirm high levels of fluoride, lead, uranium in household dust

Synopsis: An independent laboratory test has confirmed alarmingly high levels of fluoride, lead, uranium, cadmium, and other toxic substances in household dust settling across Ennore, Chennai, prompting fears of a growing public health crisis. The contamination, likely originating from phosphogypsum waste linked to Kothari Industrial Corporation Limited’s fertiliser plant, poses serious health risks – particularly to children and the elderly.

Independent testing of the grey, ash-like dust that has been steadily settling on homes in Chennai’s Ennore area has confirmed the presence of dangerously high concentrations of fluoride, lead, uranium, cadmium, and other toxic metals.

Residents have been raising concerns about the dust for several weeks, suspecting it to be emissions from a newly commissioned fertiliser unit operated by Kothari Industrial Corporation Limited (KICL).

The sample, collected from a home in Sathyavani Muthu Nagar, was analysed by CVR Labs, a NABL-accredited facility, which confirmed that the dust is industrial in origin and likely composed of phosphogypsum – a hazardous waste by-product from phosphate fertiliser manufacturing.

During a ground visit last week, South First recorded extremely high concentrations of airborne pollutants using a live AQI monitoring device.

Also Read: Dhanushkodi: Plastic raw material washes ashore, triggers concern

Signs of a public health crisis

The findings point to a potential public health emergency quietly unfolding within a densely populated residential neighbourhood.

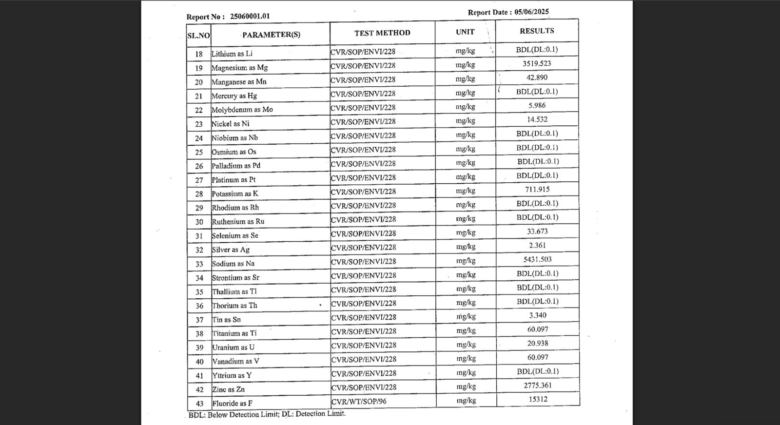
Findings of the lab test.

Calcium levels in the tested sample were as high as 171,553 mg/kg – strongly suggesting gypsum-based contamination.

When considered alongside the presence of toxic elements such as fluoride, uranium, lead, and cadmium, it suggests fertiliser production as the likely source.

Phosphogypsum is known to emit radiation, although no tests were conducted in this instance for radioactive alpha, beta, or gamma emissions, nor for radon gas.

The report states that fluoride levels were found at 15,312 mg/kg – nearly five times higher than the United States Environmental Protection Agency’s safe threshold for residential soil.

For toddlers aged between one and three, the safe upper limit for daily fluoride intake from all sources is 1.3 mg.

In Ennore, toddlers may be ingesting up to 1.53 mg per day from dust alone, already exceeding the safe limit.

This raises serious concerns about the risk of dental and skeletal fluorosis, particularly when factoring in additional exposure from water, food, or toothpaste.

Also Read: The uninvited ‘guest’: How an invasive chemical threatens our health

Children and elderly most at risk

Lead concentrations were measured at 111 mg/kg – more than ten times the floor dust hazard standard for homes with children.

Findings of the lab test.

This level of exposure could result in a daily intake of 11.1 micrograms for young children, far exceeding the US CDC’s intervention level of 2.2 micrograms per day.

Lead is a proven neurotoxin and has been linked to reduced IQ, behavioural problems, learning disabilities, and kidney damage in children.

Cadmium, recorded at 9.64 mg/kg, is a potent kidney toxin and classified as a Group 1 carcinogen.

It is linked with impaired cognitive development in children and may lead to weakened bones through disruption of calcium metabolism.

For a 10 kg child, cadmium intake from just 100 mg of dust per day would already be at the lower end of the World Health Organization’s allowable daily intake.

Uranium levels were measured at 20.9 mg/kg. For comparison, Canada has set its soil safety threshold at 23 mg/kg.

Phosphate rock naturally contains trace amounts of uranium, primarily uranium-238, as it is the most abundant isotope of uranium. Thus, fertiliser production can contain trace amounts of uranium as a by-product.

While uranium’s chemical toxicity is itself harmful, its radiological effects pose a hidden, long-term threat – particularly when inhaled or ingested, and especially to children and the elderly.

Though less radioactive than an enriched isotope like U-235, U-238 still emits alpha particles – a highly ionising form of radiation.

The risk is primarily internal, however, as alpha radiation cannot penetrate the skin but is highly damaging to internal tissues, if ingested.

Also Read: Rising seas and sinking cities — a crisis looms over Tamil Nadu

Residents allege possible collusion and cover up

Residents of Sathyavani Muthu Nagar allege that the Tamil Nadu Pollution Control Board (TNPCB) has shown a complete lack of preventive measures or emergency response.

Despite visible deposits of toxic dust and a full week of complaints, residents say no health advisory or protective guidance has been issued.

They also allege that plant operations slowed only after sustained media attention, pointing to a possibility of collusion and a cover-up.

“This is far worse than the ammonia gas leak,” said S Tamil Selvam, a local resident. “This happened slowly, invisibly, over days. Yet TNPCB has taken no action, released no data, and protected no one. Children are playing in radioactive dust.”

The Save Ennore Creek Campaign and local residents have issued a list of urgent demands:

  • Immediate closure of the polluting fertiliser unit
  • Declaration of a public health emergency
  • Mass screening for affected residents
  • A criminal investigation into the pollution event
  • A comprehensive environmental audit of the Ennore-Manali industrial region

Meanwhile, Coromandel International has issued a statement strongly rejecting allegations linking the company to the toxic emissions.

“We would like to categorically deny the allegations and assumptions made in the said report. The laboratory analysis shared by the residents does not mention Coromandel International Limited (CIL) anywhere in its findings, nor does it establish a direct link between the reported dust emissions and our operations,” the company said.

“It is important to note that the dust sample collected and submitted for testing could have originated from a range of industrial sources in the vicinity and not necessarily from Coromandel. Drawing conclusions without a comprehensive and scientifically verified source attribution is both premature and misleading.”

It continued:

“Coromandel operates with strict adherence to environmental norms and regulatory frameworks. We remain committed to the safety of the local communities and the environment. We urge stakeholders to avoid speculation and instead rely on factual assessments made by competent regulatory bodies.”

(Edited by Dese Gowda)

journalist-ad